使用XFEM定义轮廓积分所需的数据如果使用XFEM计算轮廓积分,裂纹前沿和虚拟裂纹扩展方向都由Abaqus/Standard确定。
与常规有限元法的对称性如果裂纹定义在对称平面上,则只需要对结构的一半进行建模。从虚拟裂纹前沿前进计算出的势能的变化增加一倍,以计算正确的轮廓积分值。
输入文件用法:
使用以下选项指示裂纹定义在对称平面上:
轮积分,轮=n,对称积分
ABAQUS/CAE用法:交互模块:特殊->裂纹->创建选择裂纹前沿和裂纹尖端或裂纹线,并指定裂纹扩展方向:一般:在对称平面上切换(半裂纹模型)
用常规有限元法构造小应变分析的断裂力学网格
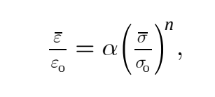
尖锐裂纹(在未变形的结构中,裂纹面彼此叠在一起)通常采用小应变假设建模。聚焦网格,如图1所示,通常应用于小应变断裂力学评估。然而,对于一个尖锐的裂纹的应变场成为奇异的裂纹尖端。这个结果显然是一个近似的物理,但是,大应变区是非常局部的,大多数断裂力学问题可以满意地解决,只使用小应变分析。裂纹尖端应变奇异性取决于所用的材料模型。线弹性、完全塑性和暴律硬化是断裂力学分析中常用的方法。异律硬化的形式是
其中e是等效总应变,e是参考应变,a是von Mises应力,0是初始屈服应力,n是幂硬化指数(通常在3到8的范用内;n》100对于大s来说非常接近完美塑性),a是材料常数(通常在0.5到10的范围内)。
纯幂律非线性弹性材料在牵引载荷作用下的结果与载荷的某个幂次成正比。因此,在特定载荷下,某一几何形状的断裂参数可以缩放到分布相同但大小不同的任何其他载荷。
如果加载是比例的 (应力空间中应力增加的方向近似为常数)且单调增加,则幂律硬化变形塑性和增量塑性本质上是等价的。然而,变形塑性是一种非线性弹性材料,有更多的分析结果可用。Abaqus使用了Ramberg-Osgood变形塑性模型 (见变形塑性);这个模型不是一个必须考虑的纯幂律模型。
创建奇点
在大多数情况下,在裂纹尖端的奇异性应被认为是在小应变分析 (当几何非线性被忽略)。包括奇异性通常会提高J积分,应力强度因子,应力和应变计算的精度,因为应力和应变的区域接近裂纹尖端更加精确。若r是距裂纹尖端的距离,则小应变分析中的应变奇异性
裂纹尖端奇异性的二维建模
平方根和1/r奇异性可以建立到一个有限元网格使用标准的元素。裂纹尖端建模与崩溃的四边形单元的环,如图2所示。
温馨提示:
此文档为达索官方英文文档翻译,尽管我们已经尽力确保准确性,但在翻译过程中可能会有一些错误或细微差别。如果想要了解官方原版,可联系客服进行索取。
[行业资讯] 思茂信息亮相2025省博士创新站活动 共探产学研新路径
2025-12-02
[CST] CST软件探索EFT虚拟测试:从IEC标准到3D仿真实战
2025-12-01
[ABAQUS] Abaqus中理想弹塑性模型和弹塑性硬化模型区别
2025-11-28
2025-11-28
2025-11-28
[ABAQUS] 上课啦!达索系统 SIMULIA Abaqus PCB仿真
2025-11-26
[CST] 无参优化器:利用CST和Tosca进行拓扑优化之单极天线(
2025-11-26
2025-11-25
[行业资讯] 正版Abaqus全国代理商:思茂信息——达索授权认证
2025-11-25
[行业资讯] 怎么联系CST studio suite代理商?达索SIM
2025-11-25
2023-08-29
2023-08-24
[ABAQUS] ABAQUS如何建模?ABAQUS有限元分析教程
2023-07-07
[ABAQUS] 有限元分析软件abaqus单位在哪设置?【操作教程】
2023-09-05
[ABAQUS] ABAQUS软件中Interaction功能模块中的绑定接
2023-07-19
[ABAQUS] Abaqus怎么撤回上一步操作?Abauqs教程
2024-05-01
[ABAQUS] abaqus里面s11、s12和u1、u2是什么意思?s和
2023-08-30
[ABAQUS] Abaqus单位对应关系及参数介绍-Abaqus软件
2023-11-20
[ABAQUS] ABAQUS软件教程|场变量输出历史变量输出
2023-07-18
[ABAQUS] Abaqus中的S、U、V、E、CF分别是什么意思?
2024-05-11
[行业资讯] 思茂信息亮相2025省博士创新站活动 共探产学研新路径
2025-12-02
[行业资讯] 正版Abaqus全国代理商:思茂信息——达索授权认证
2025-11-25
[行业资讯] 怎么联系CST studio suite代理商?达索SIM
2025-11-25
2025-11-24
[行业资讯] 广东有限元分析软件Abaqus采购指南-认准达索授权思茂信
2025-11-21
[行业资讯] 达索Abaqus、CST代理商采购流程-指定授权代理商思茂
2025-11-21
[行业资讯] 广东2025半导体及零部件学会发展论坛落幕,广州思茂信息获
2025-11-20
[有限元知识] SIMULIA 一文读懂系列-基于 SIMULIA Pow
2025-11-18
[行业资讯] 企业版、教育版Abaqus软件多少钱?达索代理商思茂信息报
2025-11-17
[行业资讯] 99元安装正版Abaqus?谨防受骗,认准达索代理商思茂信
2025-11-13
地址: 广州市天河区天河北路663号广东省机械研究所8栋9层 电话:020-38921052 传真:020-38921345 邮箱:thinks@think-s.com
Copyright © 2010-2023 广州思茂信息科技有限公司 All Rights Reserved. 粤ICP备11003060号-2