域依赖性
J积分应该与所用的域无关。假设裂纹面是相互平行的,但J积分估计从不同的环可能会有所不同,因为有限元解的近似性质。这些估计值的强烈变化,通常称为域依赖或轮廓依赖,通常表示在轮廓积分定义中的错误。在这些估计值的逐渐变化可能表明,更精细的网格是必要的,或者,如果塑性包括在内,轮廓积分域不完全包括塑性区。 如果“等效弹性材料”是不是一个很好的代表弹塑性材料,轮廓积分将是域独立的,只有当他们完全包括塑性区。由于它并不总是可能包括在三维的塑性区,一个更细的网格可能是唯一的解决方案。
如果第一个轮廓积分是通过指定裂纹尖端的节点来定义的,那么前几个轮廓可能是不准确的。要检查这些等高线的准确性,您可以请求更多等高线,并确定等高线积分的值,该值从一个等高线到下一个等高线看起来大致恒定。不近似等于该常数的等高线积分值应被丢弃。在线弹性问题中,第一和第二轮廓通常因不准确而被忽略。
对于一些具有开放裂纹前端的三维模型,从裂纹前端的节点集(或XFEM的情况下的元素)的/积分估计可能是不准确的。分辨率的困难是复杂的最外层的元素的偏斜。这种精度损失仅限于在前端的轮廓积分,并没有影响沿裂纹前沿的相邻节点集(或元素与XFEM的情况下)的轮廓积分值的精度。
考虑残余应力场对J积分的影响
残余应力场经常发生在结构中;例如,作为产生塑性的服务负载的结果,在没有退火处理.热效应或膨胀效应的情况下的金属成形过程。当残余应力是显着的,如上所述的J积分的标准定义可能会导致一个路径相关的值。为了保证它的路径独立性,J积分的计算必须包括一个附加项,占残余应力场。在Abaqus软件/Standard中,具有残余应力场的问题被视为初始应变问题如果总应变写为机械应变之和,e“,和初始应变e;也就是说,
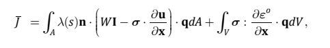
的路径无关的能量释放率在残余应力场的存在下,给出了
其中V是封闭裂纹尖端或裂纹线的畴体积,W仅定义为机械应变能密度
e°在整个变形过程中保持恒定。残余应力场可以通过读取前一个分析步骤中的应力数据或者通过定义初始条件来指定(参见定义初始应力)。指定步长,指定步长的最后可用增量中的应力数据将被认为是残余应力。如果步长设置为零 (默认),则残余应力场由初始条件定义。当使用XFEM时,残余应力场只能用初始条件定义
采用Lei,o'Dowd和Webster (2000) 的方法来考虑残余应力的影响。
输入文件用法:
*轮廓积分,残余应力步长=n,类型=J
Abaqus软件/CAE用途:步长模块:历史输出请求编辑器:域:裂纹:裂纹名称,等高线数:n,残余应力初始化值的步长:步长,类型:J积分
温馨提示:
此文档为达索官方英文文档翻译,尽管我们已经尽力确保准确性,但在翻译过程中可能会有一些错误或细微差别。如果想要了解官方原版,可联系客服进行索取。
[行业资讯] 思茂信息亮相2025省博士创新站活动 共探产学研新路径
2025-12-02
[CST] CST软件探索EFT虚拟测试:从IEC标准到3D仿真实战
2025-12-01
[ABAQUS] Abaqus中理想弹塑性模型和弹塑性硬化模型区别
2025-11-28
2025-11-28
2025-11-28
[ABAQUS] 上课啦!达索系统 SIMULIA Abaqus PCB仿真
2025-11-26
[CST] 无参优化器:利用CST和Tosca进行拓扑优化之单极天线(
2025-11-26
2025-11-25
[行业资讯] 正版Abaqus全国代理商:思茂信息——达索授权认证
2025-11-25
[行业资讯] 怎么联系CST studio suite代理商?达索SIM
2025-11-25
2023-08-29
2023-08-24
[ABAQUS] ABAQUS如何建模?ABAQUS有限元分析教程
2023-07-07
[ABAQUS] 有限元分析软件abaqus单位在哪设置?【操作教程】
2023-09-05
[ABAQUS] ABAQUS软件中Interaction功能模块中的绑定接
2023-07-19
[ABAQUS] Abaqus怎么撤回上一步操作?Abauqs教程
2024-05-01
[ABAQUS] abaqus里面s11、s12和u1、u2是什么意思?s和
2023-08-30
[ABAQUS] Abaqus单位对应关系及参数介绍-Abaqus软件
2023-11-20
[ABAQUS] ABAQUS软件教程|场变量输出历史变量输出
2023-07-18
[ABAQUS] Abaqus中的S、U、V、E、CF分别是什么意思?
2024-05-11
[行业资讯] 思茂信息亮相2025省博士创新站活动 共探产学研新路径
2025-12-02
[行业资讯] 正版Abaqus全国代理商:思茂信息——达索授权认证
2025-11-25
[行业资讯] 怎么联系CST studio suite代理商?达索SIM
2025-11-25
2025-11-24
[行业资讯] 广东有限元分析软件Abaqus采购指南-认准达索授权思茂信
2025-11-21
[行业资讯] 达索Abaqus、CST代理商采购流程-指定授权代理商思茂
2025-11-21
[行业资讯] 广东2025半导体及零部件学会发展论坛落幕,广州思茂信息获
2025-11-20
[有限元知识] SIMULIA 一文读懂系列-基于 SIMULIA Pow
2025-11-18
[行业资讯] 企业版、教育版Abaqus软件多少钱?达索代理商思茂信息报
2025-11-17
[行业资讯] 99元安装正版Abaqus?谨防受骗,认准达索代理商思茂信
2025-11-13
地址: 广州市天河区天河北路663号广东省机械研究所8栋9层 电话:020-38921052 传真:020-38921345 邮箱:thinks@think-s.com
Copyright © 2010-2023 广州思茂信息科技有限公司 All Rights Reserved. 粤ICP备11003060号-2