18620856065
索 取 报 价
资   讯   中   心

CST表面等离子极化激元SPP --- 硅波导,传播长度,有效模面积

来源: | 作者:thinks | 发布时间: 2023-10-07 | 1524 次浏览 | 🔊 点击朗读正文 ❚❚ | 分享到:

CST表面等离子极化激元SPP发生在金属-介质的表面,所以其实金属或介质都可作为波导的核心。这期我们看一下硅波导在金属基底上的波导,了解等效折射率、等效模面积和传播距离。

 

用模板,我们关注一个波长1550nm,而材料库中的硅不包括该波长,所以我们可以从网络上获取硅的材料属性,下载CSV数据,然后CST中的宏读取该材料:

 

 

CST表面等离子极化激元SPP --- 硅波导,传播长度,有效模面积 

                           

  https://refractiveindex.info/

CST表面等离子极化激元SPP --- 硅波导,传播长度,有效模面积 

 

CST表面等离子极化激元SPP --- 硅波导,传播长度,有效模面积 

 

CST表面等离子极化激元SPP --- 硅波导,传播长度,有效模面积 

 

添加铝金属。画一个二维的金属基底:

 

CST表面等离子极化激元SPP --- 硅波导,传播长度,有效模面积 

 

移动WCS,画一个硅的波导核心,初始高度和宽度可用300nm。

 

CST表面等离子极化激元SPP --- 硅波导,传播长度,有效模面积 

 

CST表面等离子极化激元SPP --- 硅波导,传播长度,有效模面积 

 

 

Z+ 方向空气增加1600背景距离,边界都是open。

 

CST表面等离子极化激元SPP --- 硅波导,传播长度,有效模面积 

 

Y方向两个波导端口:

 

CST表面等离子极化激元SPP --- 硅波导,传播长度,有效模面积 

 

CST表面等离子极化激元SPP --- 硅波导,传播长度,有效模面积 

 

选择端口的面,添加face方便我们做场积分:

 

CST表面等离子极化激元SPP --- 硅波导,传播长度,有效模面积 

 

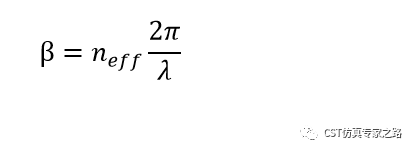
1.    等效折射率(effective refractive index)

材料的折射率n是反映该材料中波数的增加情况,也就是说材料中的电场波数是真空中的n倍;而等效折射率和截面设计与所用材料有关,更与频率模式有关,所以也叫模态指数(modal index)。


CST表面等离子极化激元SPP --- 硅波导,传播长度,有效模面积 

等效折射率很容易获得,直接用后处理模板自动从波导端口的模态结果中提取即可:

 

CST表面等离子极化激元SPP --- 硅波导,传播长度,有效模面积 

 

这个模板获得的数据类型是M1DC,可转换成0D数据:

 

CST表面等离子极化激元SPP --- 硅波导,传播长度,有效模面积 

 

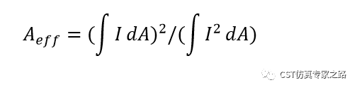
2.    等效模面积(effective mode area)

光纤和一些波导中的模式是平滑过渡的,所以等效的模式面积不容易直接获取。我们可用公式手动后处理计算:


CST表面等离子极化激元SPP --- 硅波导,传播长度,有效模面积 

 

这里I是光强(optical intensity),单位是功率每单位面积,所以我们可以用功率流监视器的结果获取。查看功率密度,这里的正负表示的是方向,蓝色表示能量垂直进入。注意我们要用的是这个垂直分量(normal)

 

CST表面等离子极化激元SPP --- 硅波导,传播长度,有效模面积 

 

CST表面等离子极化激元SPP --- 硅波导,传播长度,有效模面积 

 

计算I^2:

CST表面等离子极化激元SPP --- 硅波导,传播长度,有效模面积 

 

计算I^2积分:

 

CST表面等离子极化激元SPP --- 硅波导,传播长度,有效模面积 

 

计算I积分:

 

CST表面等离子极化激元SPP --- 硅波导,传播长度,有效模面积 

 

最后放一起,单位是um^2, 数据类型已经是0D:

CST表面等离子极化激元SPP --- 硅波导,传播长度,有效模面积 

 

3.    传播长度(propagation length)

SPP沿途被金属损耗,传播长度是指强度(功率)衰减1/e倍时的长度,公式是:

 

CST表面等离子极化激元SPP --- 硅波导,传播长度,有效模面积 

 

从端口信息中提取Alpha衰减系数:

 

CST表面等离子极化激元SPP --- 硅波导,传播长度,有效模面积 

 

输入公式,结果单位是um:

 

CST表面等离子极化激元SPP --- 硅波导,传播长度,有效模面积 

 

 

这样三个数据都在后处理里面了,都是0D结果。这样再做参数扫描就可以直接获得随参数变化的曲线,尤其是模面积,用到三维功率场,所以要定义好才能参数扫描。

 

CST表面等离子极化激元SPP --- 硅波导,传播长度,有效模面积 

 

 

扫描硅波导的宽和高:

 

CST表面等离子极化激元SPP --- 硅波导,传播长度,有效模面积 

 

扫描结束后,自动全选全部Run ID,选择结果后,调整0D曲线参数显示方式:

 

CST表面等离子极化激元SPP --- 硅波导,传播长度,有效模面积 

 

CST表面等离子极化激元SPP --- 硅波导,传播长度,有效模面积 

 

也可用后处理调整0D结果曲线,比如传播长度对W的曲线(h=150):

 

CST表面等离子极化激元SPP --- 硅波导,传播长度,有效模面积 

 

这样我们就得到三个图,九条线:

 

 

CST表面等离子极化激元SPP --- 硅波导,传播长度,有效模面积 

 

CST表面等离子极化激元SPP --- 硅波导,传播长度,有效模面积 

 

CST表面等离子极化激元SPP --- 硅波导,传播长度,有效模面积 

 

感兴趣的也可以把波导拉长,看看实际效果:

 

SPP模式:

 

CST表面等离子极化激元SPP --- 硅波导,传播长度,有效模面积 

 

功率衰减:

 

CST表面等离子极化激元SPP --- 硅波导,传播长度,有效模面积 

 

CST表面等离子极化激元SPP --- 硅波导,传播长度,有效模面积 

 

参考:Alexey V.Krasavin and Anatoly V. Zayats, "Silicon-based plasmonic waveguides,"Opt. Express 18, 11791-11799 (2010)

 

小结:

1.    本案例介绍了3个KPI,等效折射率、等效模面积和传播距离。

2.    后处理手动输入公式可以做非常多的事情。

3.    可从网上获取光频材料数据导入CST中。

 

(内容、图片来源:CST仿真专家之路公众号,侵删)

 

版权与免责声明:

凡未注明作者、来源的内容均为转载稿,如出现版权问题,请及时联系我们处理。我们对页面中展示内容的真实性、准确性和合法性均不承担任何法律责任。如内容信息对您产生影响,请及时联系我们修改或删除。


 主 营 产 品
cst
Abaqus
Powerflow
Xflow
simpack
CATIA
最 新 内 容
热 门 文 章
知 识 科 普
方 案 解 析
  • 汽车交通
  • 风能电源
  • 船舶机械
  • 生物医疗
  • 土木建筑
  • 新能源
  • 高科技