率无关弹塑性指的是材料的塑性与变形速率无关,也即材料的黏度为零,而只考虑其弹塑性本构。
1.材料的弹性本构
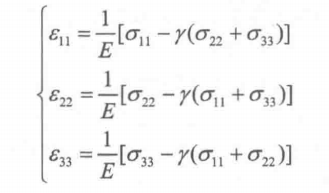
由材料力学可知,弹性变形是物体卸载以后就完全消失的变形。一般采用胡克定律来描述各向同性材料的弹性本构,广义胡克定律的表述如下:
式中,“、8、8;--3个坐标轴方向的正应变;Cn、C2、03--3个坐标轴方向的正应力;
E——弹性模量;
Γ——泊松比。
可见,完整地表述各向同性材料弹性的弹性本构仅需要两个参数:弹性模量E 和泊松比y。在焊接过程中,材料的弹性模量会随着温度的升高而逐渐变小,当温度达到材料的力学熔点时,即材料失去承载能力,其弹性模量理论上应当为零,但在连续固体力学的模拟计算范畴内,过小的弹性模量会使计算变得难于收敛,因此在实际的计算过程中常采用较低温度下的弹性模量代替高温弹性模量。对于常用金属材料,泊松比一般在0.3左右。一般而言,泊松比在焊接过程中变化不大。也有研究者认为,材料在熔化时可假设为不可压缩流体,其泊松比取 0.5。
2.材料的塑性本构
焊接时由于温度较高,焊缝及其邻近区域多数进入热塑性状态,因此材料塑性模型的选择对模拟准确性至关重要。
材料的塑性变形指的是物体卸载后不能消失而残留下来的变形。一个物体塑性本构的建立,一般要从其屈服函数和塑性流动法则及硬化法则几个方面进行描述。
(1)屈服函数和塑性流动法则
从材料简单的拉伸实验得出的应力-应变曲线可以看出,当应力超过某一值0。时,应力-应变关系不再服从胡克定律,则可认为σ为简单拉伸条件下的屈服应力。然而这种简单的应力状态在现实中是很少见的,多数情况下其属于复杂应力状态,即某一点有9个应力分量,这时就需要利用屈服函数来判断材料是否达到屈服。鉴于多数金属材料都可看作米泽斯(Mises)材料,这里仅介绍Mises屈服准则,材料的 Mises 应力σ,也称等效应力,等效应力与3个主应力σ、σ,、0的关系可表示为
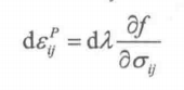
当受力物体中一点的应力状态满足屈服条件而进入塑性阶段以后,需要使用塑性阶段的本构方程来描述塑性应力与应变之间的关系。塑性本构的重要特性是它的非线性和不唯一性。非线性指塑性阶段的应力-应变关系不是线性关系,而不唯一性指的是应变不能由应力唯一确定。当外载荷变化时,应力也要变化,在应力空间上代表应力状态的应力点就要移动,应力点移动的轨迹称为应力路径,这-过程称为应力历史。在塑性阶段,应变状态不但与应力状态有关,而且依赖整个应力历史,或者说,应变是应力和应力历史的函数。塑性增量理论认为,塑性应变增量de"与加载函数f之间的关系为
式中,σ——应力分量;
入——塑性流动比例因子。
在塑性加载阶段,d>0;在卸载和弹性阶段,d=0,式(2-28)称为塑性流动法则。
(2)硬化法则
多数金属材料在发生塑性变形时,都要发生“硬化”现象,即当发生塑性变形后,需要更大的应力来驱动塑性变形的进一步增长。基本的硬化模型包括各向同性硬化模型、随动硬化模型和混合硬化模型。
各向同性硬化是指当材料进入塑性变形以后,加载屈服曲面在各个方向上均匀扩张,但是其形状、曲面的中心及其在应力空间中的方位均保持不变,其在反向加载时的屈服应力等于正向加载的屈服应力,即随着应力的增长屈服面向各个方向扩大,如图 2-5 所示。
随动硬化是指当材料进入塑性变形以后,加载曲面在应力空间做刚体移动,但是加载面形状、大小及方位均保持不变,随动硬化材料在加载反向时会产生包辛格效应,即反向加载时屈服应力有所降低,屈服面会发生移动而不发生扩展,多数金属在反向加载时都会产生一定的包辛格效应,如图2-6所示。
图 2-5 各向同性硬化行为的应力空间和加载曲线
图2-6随动硬化行为的应力空间和加载曲线
混合硬化是指既包含各向同性硬化部分又包含随动硬化部分的硬化模型。在焊接模拟过程中,焊缝及近缝区材料在焊接热循环的作用下往往会经历类似上述的“拉-压”反复过程,硬化模型的选择对计算结果的影响比较大。
(内容、图片来源:《焊接过程数值模拟》一书,侵删)
版权与免责声明:
凡未注明作者、来源的内容均为转载稿,如出现版权问题,请及时联系我们处理。我们对页面中展示内容的真实性、准确性和合法性均不承担任何法律责任。如内容信息对您产生影响,请及时联系我们修改或删除。
[行业资讯] 思茂信息亮相2025省博士创新站活动 共探产学研新路径
2025-12-02
[CST] CST软件探索EFT虚拟测试:从IEC标准到3D仿真实战
2025-12-01
[ABAQUS] Abaqus中理想弹塑性模型和弹塑性硬化模型区别
2025-11-28
2025-11-28
2025-11-28
[ABAQUS] 上课啦!达索系统 SIMULIA Abaqus PCB仿真
2025-11-26
[CST] 无参优化器:利用CST和Tosca进行拓扑优化之单极天线(
2025-11-26
2025-11-25
[行业资讯] 正版Abaqus全国代理商:思茂信息——达索授权认证
2025-11-25
[行业资讯] 怎么联系CST studio suite代理商?达索SIM
2025-11-25
2023-08-29
2023-08-24
[ABAQUS] ABAQUS如何建模?ABAQUS有限元分析教程
2023-07-07
[ABAQUS] 有限元分析软件abaqus单位在哪设置?【操作教程】
2023-09-05
[ABAQUS] ABAQUS软件中Interaction功能模块中的绑定接
2023-07-19
[ABAQUS] Abaqus怎么撤回上一步操作?Abauqs教程
2024-05-01
[ABAQUS] abaqus里面s11、s12和u1、u2是什么意思?s和
2023-08-30
[ABAQUS] Abaqus单位对应关系及参数介绍-Abaqus软件
2023-11-20
[ABAQUS] ABAQUS软件教程|场变量输出历史变量输出
2023-07-18
[ABAQUS] Abaqus中的S、U、V、E、CF分别是什么意思?
2024-05-11
[行业资讯] 思茂信息亮相2025省博士创新站活动 共探产学研新路径
2025-12-02
[行业资讯] 正版Abaqus全国代理商:思茂信息——达索授权认证
2025-11-25
[行业资讯] 怎么联系CST studio suite代理商?达索SIM
2025-11-25
2025-11-24
[行业资讯] 广东有限元分析软件Abaqus采购指南-认准达索授权思茂信
2025-11-21
[行业资讯] 达索Abaqus、CST代理商采购流程-指定授权代理商思茂
2025-11-21
[行业资讯] 广东2025半导体及零部件学会发展论坛落幕,广州思茂信息获
2025-11-20
[有限元知识] SIMULIA 一文读懂系列-基于 SIMULIA Pow
2025-11-18
[行业资讯] 企业版、教育版Abaqus软件多少钱?达索代理商思茂信息报
2025-11-17
[行业资讯] 99元安装正版Abaqus?谨防受骗,认准达索代理商思茂信
2025-11-13
地址: 广州市天河区天河北路663号广东省机械研究所8栋9层 电话:020-38921052 传真:020-38921345 邮箱:thinks@think-s.com
Copyright © 2010-2023 广州思茂信息科技有限公司 All Rights Reserved. 粤ICP备11003060号-2