由于利兹线在高达 MHz 范围的高频下承载交流电 (AC) 的多种优点,在低频 (LF) 应用中使用利兹线作为导体绕组的情况越来越多,其中实心导体中的集肤效应和邻近效应成为重大问题。利兹线导体由多股绝缘铜线以优化方式编织/绞合在一起制成,从而使流动的电流均匀并减轻损耗。在低频中,利兹线主要用于变压器和电感器。它们的用途现已扩展到更广泛的应用,例如电机中的绕组和一般线圈。
对利兹线进行建模非常重要,这样可以根据所需的准确度计算趋肤效应和邻近效应造成的损耗。然而,在几何建模和模拟时间方面,表示利兹线导体中的每根绞线可能非常繁重,因此需要一种替代方法。在 CST Studio Suite 中,使用有效的导线方法来表示导体的股线,从而缩短建模和仿真时间。
在本文中,我们重点关注使用 CST Studio Suite LF 解算器对利兹线进行仿真,其中我们添加了一项功能来简化建模。我们通过一个例子展示了利兹线的结果。
利兹线内的物理效应
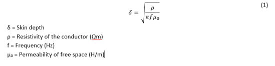
当交流电流在实心导线中以高频流动时,导体内的电流会重新分布。电流密度在导体外表面附近最大,并向导体内轴呈指数减小。这种重新分布就是集肤效应。趋肤深度 δ 的表达式如式(1)所示,其效果如图 1 所示。图 1 中外侧的红色截面承载着最高的电流强度,而中央的蓝色截面承载着最低的电流强度,这是由于电流在导体整个横截面内的重新分布。因此,集肤深度 δ 是电流密度为表面值的1/ e时的深度。
图 1. 交流导体中的集肤效应
由于电流横截面积减小,这会导致导体电阻增加,从而导致热损失增加。在这种情况下使用利兹线有助于减轻趋肤效应,但不能消除它;因此必须考虑它。
使用利兹线时需要考虑的另一个重要问题是由于包装线的紧密性而产生的邻近效应。邻近效应还会导致导体内电流重新分布,从而增加交流电阻,从而导致热损失增加。图 2 显示了邻近效应如何影响五匝线圈中的电流分布。图2(a)显示了完整的线圈,图2(b)显示了横截面中的电流分布。使用适当的捻距和捻数将线股捻成束有助于减少邻近效应造成的损耗,但并不能消除它们。因此,我们也必须考虑它们。
图 2. 交流承载线圈中的邻近效应 (a) 五匝完整线圈,(b) 在 YZ 平面中切割
在 CST Studio Suite 中对利兹线建模
前面讨论的损耗可以在 CST Studio Suite 中通过对利兹线进行有效建模来计算。我们添加了一项新功能,使用户能够获得皮肤和邻近损耗的良好近似值,而无需对每股利兹线进行建模。
可以使用 CST Studio Suite 中的线圈特征(例如线圈段)对导体进行建模,其中使用横截面轮廓和开放路径来创建开放线圈段。在未来的版本中,此功能将扩展到闭环线圈。
此功能允许您设置利兹线的各种参数,如电流、电导率、股数、股线直径和线的长度延伸系数(考虑股线的捻制和编织长度)。使用线圈的几何尺寸和前面列出的参数自动计算与建模线圈的几何形状相关的其他参数。这些包括填充因子、(有效)导体面积、线圈体积、线圈横截面积、线圈几何长度和直流电阻。
正确设置模型后,必须使用 CST Studio Suite 中的 LF 频域 MQS 求解器对其进行求解。为计算损失的模型设置感兴趣的频率。
设置示例
在本节中,使用缠绕在铁氧体 C 型芯腿上的利兹线导体的简单示例,如图 3 所示。
图 3. 带利兹线导体的铁氧体 C 型磁芯示例
铁氧体磁芯的相对磁导率设置为 200,它具有色散磁特性,如图 4 所示。这样可以计算 C 磁芯中与频率相关的磁损耗,对此不再详细讨论此处,因为它超出了本文的范围。
图 4.铁氧体 C 型磁芯磁分散的德拜一阶模型
线圈是使用“线圈段”选项定义的,因此默认情况下是开路线圈。为了使线圈中的电流无发散,必须使用完美电导体 (PEC) 或使用模型的边界将其闭合。在这种情况下,PEC 用作闭合环路的材料,如图 3 所示。这不会影响模型中的损耗,但稍后可以将 PEC 材料更改为更实际的材料,以表示两个线端。创建线圈后,可以在对话框中定义属性,如图 5 所示。表 1 提供了有关本示例中使用的利兹线线圈的更多详细信息。
图 5. 利兹线设置(对话框)
表 1. 利兹线特性
此处指定的电流幅度可以是 RMS 或峰值,具体取决于求解器窗口中选择的内容。一般来说,利兹导体的股数可以从十几到几千。给出的绞线直径必须不包括绝缘厚度,并且软件根据线圈几何形状的横截面积计算填充系数和导体面积。通常,选择的最大股线直径是最高工作频率下使用的线材趋肤深度的两倍。然而,这并不总是足以消除集肤损耗,因为实际电源通常包含更高的噪声谐波,具体取决于应用。延伸长度是利兹线的实际总长度(绞合前)与测量的最终长度(绞合后)的比值。该方法假设电流在束级是均匀的。
该模型针对50 Hz至200 MHz的频率范围进行求解,每个频点的结果都可以在导航树中找到,如图6(a)所示。感兴趣的主要结果、趋肤损失和接近损失可以在 1D 结果/LF 解算器/损失下找到。在此示例中,还可以获得铁氧体 C 型磁芯的损耗。图 6(b)、6(c) 和 6(d) 分别显示了趋肤损耗、邻近损耗和总损耗。
图 6 (a) 导航树中的结果,(b) 蒙皮损失,(c) 邻近损失,(d) 总损失
在图 6(b) 中,我们看到除 100 MHz 附近略有下降外,集肤损耗在整个频率范围内相对恒定。当选择绞线直径(表 1)低于 2δ(趋肤深度的两倍)时,预计会出现相对恒定的值,直到频率达到 100 MHz。
在图 6(c) 中,我们看到接近损耗随着频率的增加而增加,正如预期的那样。与趋肤效应相比,邻近损耗的幅度很大,正如所选择的线束直径所预期的那样。
图 6(d) 显示了总损耗,包括对数刻度的铁氧体 C 磁芯损耗,因此整个宽带范围的值都可见。图例显示了 50 Hz(最低模拟频率)下的每个损耗值。斜率主要由铁氧体损耗决定,但交流电流损耗的影响仍然很大,尤其是邻近损耗。
图 7(a) 显示了 100 MHz 下完整模型中的磁损耗密度,而图 7(b) 仅显示了线圈中的损耗密度,主要由邻近效应主导。尽管铁氧体磁芯的损耗要高得多,但由于横截面积较小,线圈中的损耗密度要高得多。
图 7. (a) 完整模型,(b) 邻近损耗占主导地位的线圈中 100 MHz 时的磁损耗密度 (W/m3)
非利兹线线圈的损耗比较
如果使用线圈段在 CST Studio Suite 中的同一模型上进行没有利兹线的评估,则比较损耗是不合理的,因为不会考虑类似尺寸导线的集肤效应和邻近效应。该软件仅计算导体的欧姆直流损耗,因此不提供同类比较。这也表明非利兹线导体中的交流损耗小于利兹线导体中的交流损耗,这是不正确的。
结论
利兹线在低频 (LF) 交流应用的较高频谱中越来越受欢迎,以减少功率损耗。本文简要概述了 CST Studio Suite 中的新利兹线功能,旨在更有效地计算趋肤损耗和接近损耗,这在频率较高时变得非常重要。概述了这些应用中产生的损耗类型,并提供了在 CST Studio Suite 中使用利兹线建立模型的简单示例。对结果进行了讨论,证明了计算导体中交流损耗的重要性。
[行业资讯] 思茂信息亮相2025省博士创新站活动 共探产学研新路径
2025-12-02
[CST] CST软件探索EFT虚拟测试:从IEC标准到3D仿真实战
2025-12-01
[ABAQUS] Abaqus中理想弹塑性模型和弹塑性硬化模型区别
2025-11-28
2025-11-28
2025-11-28
[ABAQUS] 上课啦!达索系统 SIMULIA Abaqus PCB仿真
2025-11-26
[CST] 无参优化器:利用CST和Tosca进行拓扑优化之单极天线(
2025-11-26
2025-11-25
[行业资讯] 正版Abaqus全国代理商:思茂信息——达索授权认证
2025-11-25
[行业资讯] 怎么联系CST studio suite代理商?达索SIM
2025-11-25
2023-08-29
2023-08-24
[ABAQUS] ABAQUS如何建模?ABAQUS有限元分析教程
2023-07-07
[ABAQUS] 有限元分析软件abaqus单位在哪设置?【操作教程】
2023-09-05
[ABAQUS] ABAQUS软件中Interaction功能模块中的绑定接
2023-07-19
[ABAQUS] Abaqus怎么撤回上一步操作?Abauqs教程
2024-05-01
[ABAQUS] abaqus里面s11、s12和u1、u2是什么意思?s和
2023-08-30
[ABAQUS] Abaqus单位对应关系及参数介绍-Abaqus软件
2023-11-20
[ABAQUS] ABAQUS软件教程|场变量输出历史变量输出
2023-07-18
[ABAQUS] Abaqus中的S、U、V、E、CF分别是什么意思?
2024-05-11
[行业资讯] 思茂信息亮相2025省博士创新站活动 共探产学研新路径
2025-12-02
[行业资讯] 正版Abaqus全国代理商:思茂信息——达索授权认证
2025-11-25
[行业资讯] 怎么联系CST studio suite代理商?达索SIM
2025-11-25
2025-11-24
[行业资讯] 广东有限元分析软件Abaqus采购指南-认准达索授权思茂信
2025-11-21
[行业资讯] 达索Abaqus、CST代理商采购流程-指定授权代理商思茂
2025-11-21
[行业资讯] 广东2025半导体及零部件学会发展论坛落幕,广州思茂信息获
2025-11-20
[有限元知识] SIMULIA 一文读懂系列-基于 SIMULIA Pow
2025-11-18
[行业资讯] 企业版、教育版Abaqus软件多少钱?达索代理商思茂信息报
2025-11-17
[行业资讯] 99元安装正版Abaqus?谨防受骗,认准达索代理商思茂信
2025-11-13
地址: 广州市天河区天河北路663号广东省机械研究所8栋9层 电话:020-38921052 传真:020-38921345 邮箱:thinks@think-s.com
Copyright © 2010-2023 广州思茂信息科技有限公司 All Rights Reserved. 粤ICP备11003060号-2