CST 2020版本中,特征模CMA分析加入了模式加权系数(MWC)功能,用来分析激励源和特征模的耦合情况。但是常有同学提问说这个选项勾选了结果中也看不到什么区别,1D结果文档里还是特征角、特征值和模式电流系数三个文件夹,这个加权系数在哪呢?
问题原因其实还是对CMA理论了解不深,所以这问题的简单答案就是,加上端口或场源,再跑CMA就能看见加权系数的结果了。
1. 什么是MS?模式电流系数Modal Significance, 是特征值(Eigenvalue)的变式,归一化后用于更方便的表示变化剧烈且不好观察的特征值。MS展示结构有哪些内在的谐振模式,和激励无关,越接近1的频率说明该模式越容易辐射。算是CMA分析出来的一半信息,用来研究结构的内部特性。
2.什么是CA?
特征角Characteristic Angle, 也是特征值(Eigenvalue) Lamda(n)的变式,是电阻和电抗的夹角,决定电容和电感的频率区域。简单说,CA=180就对应MS=1。
3.什么是MEC?
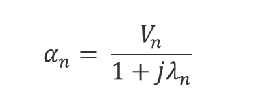
模式激励系数Modal Excitation Coefficient, 常用Vn,Vi,表示,公式为特征电流和入射电场 内积。这里就大概可以理解算MEC需要加什么了吧?外界的入射电场呗!
所以当激励信号存在时,MEC展示哪个谐振模式容易被激发,也就是说MEC和激励信号的位置、振幅、相位、极化都有关,这就是馈电的优化问题。MEC算是CMA分析出来的另一半信息,用来找合适的馈电。
4. 什么是MWC?
最后来说模式加权系数(Modal WeightingCoefficient),用阿尔法a n表示(不要和CA的混淆!没办法,文献里都用阿尔法…)。先看导体上的电流,用特征电流作为基函数展开式:
除了特征电流Jn之外,其他的项便组成了模式加权系数,所以:
从以上的简单分析应该看出端倪了吧?MWC就等于MS 乘以MEC!所以算MWC需要端口激励,就有这个结果文档了:
最后随便附一张MWC结果图:
在后处理Combine result 这里会根据MWC各个模式自动生成激励信号,直接点击Combine,就生成新的三维场,这里和端口直接激励拿到的三维场应该是一样的。有机会我们找个案例进行精准比较再和大家分享。
CST的CMA技术每年都有一个非常得出色的功能增加,这次的MWC是不是也很有用。
(内容、图片来源:CST仿真专家之路公众号,侵删)
版权与免责声明:
凡未注明作者、来源的内容均为转载稿,如出现版权问题,请及时联系我们处理。我们对页面中展示内容的真实性、准确性和合法性均不承担任何法律责任。如内容信息对您产生影响,请及时联系我们修改或删除。
[行业资讯] 思茂信息亮相2025省博士创新站活动 共探产学研新路径
2025-12-02
[CST] CST软件探索EFT虚拟测试:从IEC标准到3D仿真实战
2025-12-01
[ABAQUS] Abaqus中理想弹塑性模型和弹塑性硬化模型区别
2025-11-28
2025-11-28
2025-11-28
[ABAQUS] 上课啦!达索系统 SIMULIA Abaqus PCB仿真
2025-11-26
[CST] 无参优化器:利用CST和Tosca进行拓扑优化之单极天线(
2025-11-26
2025-11-25
[行业资讯] 正版Abaqus全国代理商:思茂信息——达索授权认证
2025-11-25
[行业资讯] 怎么联系CST studio suite代理商?达索SIM
2025-11-25
2023-08-29
2023-08-24
[ABAQUS] ABAQUS如何建模?ABAQUS有限元分析教程
2023-07-07
[ABAQUS] 有限元分析软件abaqus单位在哪设置?【操作教程】
2023-09-05
[ABAQUS] ABAQUS软件中Interaction功能模块中的绑定接
2023-07-19
[ABAQUS] Abaqus怎么撤回上一步操作?Abauqs教程
2024-05-01
[ABAQUS] abaqus里面s11、s12和u1、u2是什么意思?s和
2023-08-30
[ABAQUS] Abaqus单位对应关系及参数介绍-Abaqus软件
2023-11-20
[ABAQUS] ABAQUS软件教程|场变量输出历史变量输出
2023-07-18
[ABAQUS] Abaqus中的S、U、V、E、CF分别是什么意思?
2024-05-11
[行业资讯] 思茂信息亮相2025省博士创新站活动 共探产学研新路径
2025-12-02
[行业资讯] 正版Abaqus全国代理商:思茂信息——达索授权认证
2025-11-25
[行业资讯] 怎么联系CST studio suite代理商?达索SIM
2025-11-25
2025-11-24
[行业资讯] 广东有限元分析软件Abaqus采购指南-认准达索授权思茂信
2025-11-21
[行业资讯] 达索Abaqus、CST代理商采购流程-指定授权代理商思茂
2025-11-21
[行业资讯] 广东2025半导体及零部件学会发展论坛落幕,广州思茂信息获
2025-11-20
[有限元知识] SIMULIA 一文读懂系列-基于 SIMULIA Pow
2025-11-18
[行业资讯] 企业版、教育版Abaqus软件多少钱?达索代理商思茂信息报
2025-11-17
[行业资讯] 99元安装正版Abaqus?谨防受骗,认准达索代理商思茂信
2025-11-13
地址: 广州市天河区天河北路663号广东省机械研究所8栋9层 电话:020-38921052 传真:020-38921345 邮箱:thinks@think-s.com
Copyright © 2010-2023 广州思茂信息科技有限公司 All Rights Reserved. 粤ICP备11003060号-2